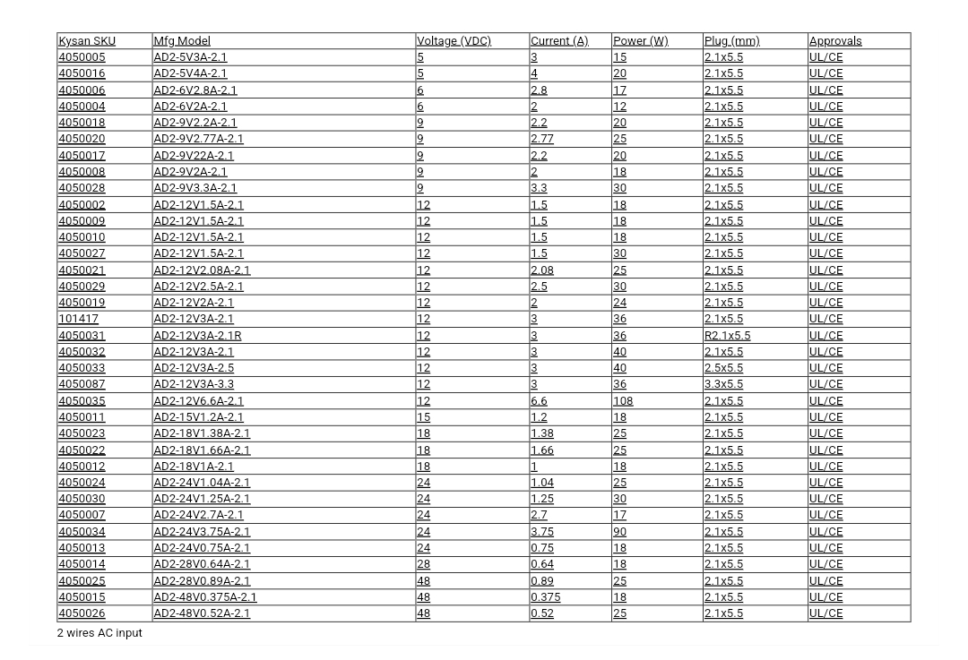
Desktop Adaptors
394 Active
Data Group: 394
SKU: 4050096
Weight (Kg): 1.0000
Decsription: AD2-12V1.5A-RJ45
HS Code: 8504.40.9510
Applications: Communications, household appliances, computers, industrial equipment.
2 wires AC input

©2003 KYSAN ELECTRONICS All Rights Reserved! www.kysanelectronics.com