|
 |
|
Vibrating Motors
605 Active |
|
|
|
|
|
Data Group: 605
SKU: 1162029
Weight (Kg): 0.5000
Decsription: Z6CL2A0080001
HS Code: 8483.40.9000
Applications: Cell phone, pages, toys, instrument
 |
|
|
|
|
|
Untitled Document
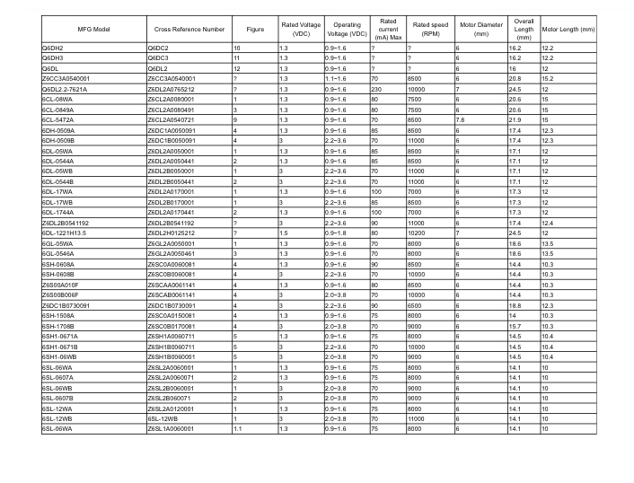
MFG Model |
Cross Reference Number |
Figure |
Rated Voltage (VDC) |
Operating Voltage (VDC) |
Rated current (mA) Max |
Rated speed (RPM) |
Motor Diameter (mm) |
Overall Length (mm) |
Motor Length (mm) |
| Q6DH2 |
Q6DC2 |
10 |
1.3 |
0.9~1.6 |
? |
? |
6 |
16.2 |
12.2 |
| Q6DH3 |
Q6DC3 |
11 |
1.3 |
0.9~1.6 |
? |
? |
6 |
16.2 |
12.2 |
| Q6DL |
Q6DL2 |
12 |
1.3 |
0.9~1.6 |
? |
? |
6 |
16 |
12 |
| Z6CC3A0540001 |
Z6CC3A0540001 |
? |
1.3 |
1.1~1.6 |
70 |
8500 |
6 |
20.8 |
15.2 |
| Q6DL2.2-7621A |
Z6DL2A0765212 |
? |
1.3 |
0.9~1.6 |
230 |
10000 |
7 |
24.5 |
12 |
| 6CL-08WA |
Z6CL2A0080001 |
1 |
1.3 |
0.9~1.6 |
80 |
7500 |
6 |
20.6 |
15 |
| 6CL-0849A |
Z6CL2A0080491 |
3 |
1.3 |
0.9~1.6 |
80 |
7500 |
6 |
20.6 |
15 |
| 6CL-5472A |
Z6CL2A0540721 |
9 |
1.3 |
0.9~1.6 |
70 |
8500 |
7.8 |
21.9 |
15 |
| 6DH-0509A |
Z6DC1A0050091 |
4 |
1.3 |
0.9~1.6 |
85 |
8500 |
6 |
17.4 |
12.3 |
| 6DH-0509B |
Z6DC1B0050091 |
4 |
3 |
2.2~3.6 |
70 |
11000 |
6 |
17.4 |
12.3 |
| 6DL-05WA |
Z6DL2A0050001 |
1 |
1.3 |
0.9~1.6 |
85 |
8500 |
6 |
17.1 |
12 |
| 6DL-0544A |
Z6DL2A0050441 |
2 |
1.3 |
0.9~1.6 |
85 |
8500 |
6 |
17.1 |
12 |
| 6DL-05WB |
Z6DL2B0050001 |
1 |
3 |
2.2~3.6 |
70 |
11000 |
6 |
17.1 |
12 |
| 6DL-0544B |
Z6DL2B0050441 |
2 |
3 |
2.2~3.6 |
70 |
11000 |
6 |
17.1 |
12 |
| 6DL-17WA |
Z6DL2A0170001 |
1 |
1.3 |
0.9~1.6 |
100 |
7000 |
6 |
17.3 |
12 |
| 6DL-17WB |
Z6DL2B0170001 |
1 |
3 |
2.2~3.6 |
85 |
8500 |
6 |
17.3 |
12 |
| 6DL-1744A |
Z6DL2A0170441 |
2 |
1.3 |
0.9~1.6 |
100 |
7000 |
6 |
17.3 |
12 |
| Z6DL2B0541192 |
Z6DL2B0541192 |
? |
3 |
2.2~3.6 |
90 |
11000 |
6 |
17.4 |
12.4 |
| 6DL-1221H13.5 |
Z6DL2H0125212 |
? |
1.5 |
0.9~1.8 |
80 |
10200 |
7 |
24.5 |
12 |
| 6GL-05WA |
Z6GL2A0050001 |
1 |
1.3 |
0.9~1.6 |
70 |
8000 |
6 |
18.6 |
13.5 |
| 6GL-0546A |
Z6GL2A0050461 |
3 |
1.3 |
0.9~1.6 |
70 |
8000 |
6 |
18.6 |
13.5 |
| 6SH-0608A |
Z6SC0A0060081 |
4 |
1.3 |
0.9~1.6 |
90 |
8500 |
6 |
14.4 |
10.3 |
| 6SH-0608B |
Z6SC0B0060081 |
4 |
3 |
2.2~3.6 |
70 |
10000 |
6 |
14.4 |
10.3 |
| Z6S00A010F |
Z6SCAA0061141 |
4 |
1.3 |
0.9~1.6 |
80 |
8500 |
6 |
14.4 |
10.3 |
| Z6S00B006F |
Z6SCAB0061141 |
4 |
3 |
2.0~3.8 |
70 |
10000 |
6 |
14.4 |
10.3 |
| Z6DC1B0730091 |
Z6DC1B0730091 |
4 |
3 |
2.2~3.6 |
90 |
6500 |
6 |
18.8 |
12.3 |
| 6SH-1508A |
Z6SC0A0150081 |
4 |
1.3 |
0.9~1.6 |
75 |
8000 |
6 |
14 |
10.3 |
| 6SH-1708B |
Z6SC0B0170081 |
4 |
3 |
2.0~3.8 |
70 |
9000 |
6 |
15.7 |
10.3 |
| 6SH1-0671A |
Z6SH1A0060711 |
5 |
1.3 |
0.9~1.6 |
75 |
8000 |
6 |
14.5 |
10.4 |
| 6SH1-0671B |
Z6SH1B0060711 |
5 |
3 |
2.2~3.6 |
70 |
10000 |
6 |
14.5 |
10.4 |
| 6SH1-06WB |
Z6SH1B0060001 |
5 |
3 |
2.0~3.8 |
70 |
9000 |
6 |
14.5 |
10.4 |
| 6SL-06WA |
Z6SL2A0060001 |
1 |
1.3 |
0.9~1.6 |
75 |
8000 |
6 |
14.1 |
10 |
| 6SL-0607A |
Z6SL2A0060071 |
2 |
1.3 |
0.9~1.6 |
75 |
8000 |
6 |
14.1 |
10 |
| 6SL-06WB |
Z6SL2B0060001 |
1 |
3 |
2.0~3.8 |
70 |
9000 |
6 |
14.1 |
10 |
| 6SL-0607B |
Z6SL2B060071 |
2 |
3 |
2.0~3.8 |
70 |
9000 |
6 |
14.1 |
10 |
| 6SL-12WA |
Z6SL2A0120001 |
1 |
1.3 |
0.9~1.6 |
75 |
8000 |
6 |
14.1 |
10 |
| 6SL-12WB |
6SL-12WB |
1 |
3 |
2.0~3.8 |
70 |
11000 |
6 |
14.1 |
10 |
| 6SL-06WA |
Z6SL1A0060001 |
1.1 |
1.3 |
0.9~1.6 |
75 |
8000 |
6 |
14.1 |
10 |
|
|
|
|
|
|
|
|
|
|
|
|
|
|
|
©2003 KYSAN ELECTRONICS All Rights Reserved! www.kysanelectronics.com |
|