Motor Accessories
612 Active
Data Group: 612
SKU: 1210007
Weight (Kg): 0.0100
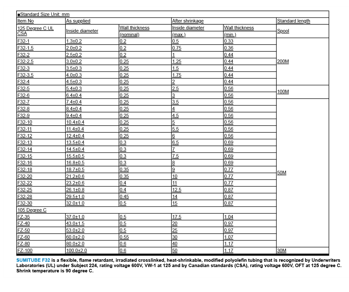
Decsription: POLYOLEFIN-10-15
HS Code:
Applications:

©2003 KYSAN ELECTRONICS All Rights Reserved! www.kysanelectronics.com